当前,全球对可再生能源的需求逐渐增加,湿度驱动能量发生器(MEGs)因其可利用水分持续产生电能的能力而受到关注。同时,纤维素纳米纤维(CNF)凭借自身的亲水性、易于化学改性等优点正成为MEGs的理想材料。然而,CNF在湿度环境下易膨胀导致三维结构破坏,影响其长期高性能运行的稳定性。为解决该问题,研究人员已经尝试通过添加各种增强材料或引入交联剂来提高纤维素纳米纤维基材料的结构稳定性,但开发基于化学交联纤维素的高稳定性MEGs尚未得到充分探索。
近日,韩国延世大学Cheolmin Park课题组开发了一种新型纤维素基湿度驱动能量发生器(MEGs),通过化学交联的纤维素纳米纤维(CNF)与碳纳米管(CNT)的复合材料,实现了实际运行中的高性能稳定性。该装置以柠檬酸(CA)交联的CNF/CNT气凝胶复合材料(CCA)作为活性发电层,以离子有机水凝胶作为水分和离子的供应层,由此制备的双层MEG(CCA-MEG)在1cm²的活性面积上具有39 mA/cm²的短路电流密度和28.9 mW/cm²的最大功率密度。并且在连续运行350小时后仍能维持0.703V的开路电压,表现出优异的稳定性。相关研究成果以“Environmentally Sustainable Moisture Energy Harvester with Chemically Networked Cellulose Nanofiber”为题,发表在国际期刊Energy & Environmental Science.(2024, 17, 7165-7181)上。
3.1 CCA和CCA-MEG离子有机水凝胶的表征
图1展示了CCA-MEG的整体结构。交联CNF/CNT/CA气凝胶(CCA)主要由纤维素纳米纤维/碳纳米管(CNF/CNT)网络组成,其中CNF链通过柠檬酸(CA)作为交联剂进行化学交联,形成了坚固的共价键和稳定的网络结构。双层结构的MEG包括交联的CCA和提供水分和离子的离子有机水凝胶层,这两层通过简单的粘附方式组合在一起。

图1 CCA-MEG示意图和CCA的表征
FT-IR和XPS图谱证实了CA与CNF的成功交联,XRD图谱通过纤维素结晶度的变化,表明交联降低了纤维素的结晶度,但增强了其结构稳定性。同时,随着CA含量的增加,CCA的Zeta电位的绝对值先减小后增大,反映了交联反应对表面电荷的影响,这可能是由于CNF与CA交联后羟基数量减少,而过量CA保留的活性羧基又增大了Zeta电位。此外,溶胀比及水接触角分析则进一步说明交联提高了CCA的耐水性和表面疏水性。
3.2 CCA-MEG的发电性能
图2展示了CCA-MEG在电能产生方面的优异性能。

图2 CCA-MEG的发电性能
与原始CNF气凝胶基MEG(PCA-MEG)相比,CCA-MEG表现出更高的开路电压稳定性,在连续运行350 h后仍能保持在0.55 V;还具有更高的短路电流密度(42 mA/cm²),随后逐渐稳定在35 mA/cm²。此外,CCA-MEG的电压输出稳定性、开路电压和短路电流密度均随CA含量的增加而提升,并在CA含量超过100%时趋于稳定,这进一步表明,通过纤维素链的交联可以提高纤维素基MEG的运行稳定性。而随着外部电阻的增加,CCA-MEG的开路电压逐渐增大,短路电流密度则相应减小,并在外部电阻为3 kΩ时达到最大功率密度(28.9mW/cm²)。与其他生物聚合物基MEG相比,CCA-MEG在持续运行时间、功率密度、环保性、电流和电压等方面均表现出色,显示出其在水分能量收集领域的巨大潜力。
3.3 CCA的结构稳定性
图3展示了CCA和PCA在发电前后的微观结构变化及其力学性能。

图3 CCA的结构稳定性
CCA在发电后部分纤维出现了轻微的解缠结,但整体仍然保持长纤维随机排列的结构,而PCA在发电后纤维之间出现了严重的解缠结和结构塌缩。同时,压缩试验显示CCA相比PCA具有更高的压缩强度和模量,特别是在高CA含量下。这些结构共同证明了化学交联对提升CCA高性能运行下的结构稳定性和机械强度至关重要。此外,在水中浸泡24 h后,CCA可以保持其形状和结构完整性,而PCA则出现了明显的结构破坏和碎片脱落,进一步证明了交联对提升湿度稳定性的重要性。
3.4 CCA-MEG发电机制
图4揭示了CCA-MEG在湿度驱动下的发电机制。
研究表明,在湿度驱动电能产生过程中,CCA的表面电位显著增加,表明正电荷载流子优先积累,同时可以清晰观察到Ca²⁺在气凝胶中的分布,而Cl⁻则较少迁移至气凝胶中,这与上述表面电位变化相一致。此外,当CCA暴露于风中时(加速蒸发),开路电压增加;而当CCA被密封时(蒸发受限),开路电压降低。这表明持续的水分蒸发梯度对于CCA-MEG的电能产生至关重要。
最后,通过示意图阐述了CCA-MEG的电能产生机制,当CCA层与含有丰富Ca²⁺和Cl⁻的离子有机水凝胶层接触时,形成了水分和离子浓度梯度,导致水分和离子从水凝胶层向CCA层定向迁移。CCA的负电性(由于CNF的-OH和CA的-COOH)吸引了正离子,而水分的持续蒸发维持了这种迁移过程,从而保证CCA-MEG系统的可持续发电。

图4 CCA-MEG的发电机制
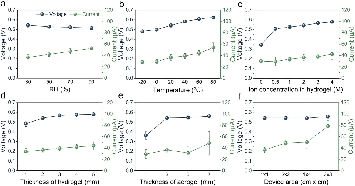
3.5 CCA-MEG在不同条件下的电力输出
图5探讨了相对湿度、温度、离子浓度、水凝胶厚度、气凝胶厚度以及器件面积等因素对CCA-MEG电能输出性能的影响。
实验结果表明,相对湿度增加,导致开路电压下降而短路电流密度上升,这是由于湿度增加使气凝胶与大气之间的湿度差异减小,从而降低了水分蒸发速率,进而影响电能产生。温度升高,开路电压和短路电流密度均呈现上升趋势,即使在低温下也能保持一定输出。离子浓度增加,开路电压和短路电流密度也随之提高,表明增加离子浓度有助于提升CCA-MEG的电能输出性能。有机水凝胶和气凝胶厚度对性能的影响均较小,但较薄的气凝胶(如1 mm)可能导致机械不稳定性,从而影响电能输出的稳定性。而器件面积对开路电压影响不大,但电流随接触面积增加呈线性上升趋势。


图5 影响CCA-MEG输出性能的因素
此外,还对比了不同交联剂对MEG性能的影响,结果显示,环氧氯丙烷交联的气凝胶基MEG在电压稳定性方面稍逊于CCA-MEG,而钙离子交联的气凝胶基MEG虽然初始电压较高,但随时间逐渐下降。展示了CCA-MEG在稳定性和输出方面的优势。
3.6 CCA-MEG的生物降解性和可回收性
图6展示了CCA-MEG的生物降解和回收过程。
CCA通过纤维素酶作用可以快速降解为可重复使用的碳纳米管(CNTs)和可回收的离子有机水凝胶。随着时间的推移,CCA的重量损失百分比稳步增加,4 h后达到69.4%,并在4 h内几乎完全降解,显示出高效的降解性能。此外,回收的CNT能够保持良好的结构完整性,并且使用回收的CNTs和再利用的离子有机水凝胶制备的回收CCA-MEG(rCCA-MEG)展现出接近原始CCA-MEG的电能输出性能,证明了CCA-MEG在生物降解性和可回收性方面的显著优势,以及在实际应用中实现环境可持续性的潜力。


图6 CCA-MEG的生物降解性和可回收性
3.7 基于自供电MEG的智能包装,用于食品新鲜度监测
图7展示了CCA-MEG在智能包装系统中的应用。
该系统通过集成CCA-MEG阵列作为自供电源,结合聚合物分散液晶(PDLC)薄膜和LED指示灯,实现了自供电的温度监测与记录功能,用于评估食品的新鲜度和安全性。当包装内温度上升到一定水平时,CCA-MEG产生的电压能使PDLC薄膜变得透明,从而显示“请勿食用”的警告标签;若高温暴露持续,则触发LED灯亮起以进一步提示。此外,将多个CCA-MEG单元串联或并联,可以根据需要调整输出电压或电流,使其能适应不同的应用场景和电力需求。PDLC薄膜中的液晶分子在无电压状态下随机分布,导致光线散射,使薄膜呈不透明状态;当施加电压时,液晶分子重新排列使薄膜变得透明,当电压超过12 V时,薄膜变得足够透明以显示下方的警告标签。在0-45°C范围内,CCA-MEG阵列的输出电压随着温度升高而逐渐增加,在25°C时达到12.4 V,足以使PDLC薄膜变得透明。最后,通过两个场景模拟了智能包装在食品运输和储存过程中的应用。在正常情况下,包装保持不透明且LED灯不亮;而当食品暴露于高温环境时,PDLC薄膜变得透明并显示警告标签,随后LED灯亮起以进行指示。这些结果直观表现了CCA-MEG作为自供电源在实际应用中的潜力和优势。

图7 基于自供电MEG的食品新鲜度监测智能包装
本文成功开发了一种高性能、环境可持续的水分能量收集器,通过将CNF与CNT进行化学交联显著提高了纤维素基MEGs的稳定性,实现了超过350 h的连续稳定运行,具有39 mA/cm²的短路电流密度和28.9 mW/cm²的最大功率密度。该收集器在能量产生后可生物降解并回收利用,且回收后的输出电压性能达到了原始MEG的98.8%。此创新不仅提升了能量收集器的长期稳定性和实用性,还在智能包装、环境监测等领域展现出广阔的应用前景。
这项工作通过引入环境友好的材料并进行改性实现了MEG在能量收集方面的高性能运行稳定和回收利用,为未来的可持续能源应用开辟了新途径。未来,相关研究可以进一步探索不同交联剂对MEG性能的影响以及优化MEG结构来提高能量转换效率。
【中国科学院化学研究所杨怡洛,张军提供】